ПОМОГИТЕ ПОЖАЛУЙСТА С НОМЕРАМИ !!!!!ДАЮ 36 БАЛЛОВ!!!!! условие найти область определения
Приложения:
Ответы
Ответ дал:
0
Тут вряд ли подойдёт понятие области определения, ибо первые два - уравнения...
1) x≥0, так как левая часть не может быть отрицательной из-за того, что в правой находится радикал, то есть неотрицательное значение.
2) х∈[0;1)∪(1;+oo), корень уравнения - число "два".
3) х∈[0;9)∪(9;+oo), так как в знаменателе не должен быть ноль.
1) x≥0, так как левая часть не может быть отрицательной из-за того, что в правой находится радикал, то есть неотрицательное значение.
2) х∈[0;1)∪(1;+oo), корень уравнения - число "два".
3) х∈[0;9)∪(9;+oo), так как в знаменателе не должен быть ноль.
Ответ дал:
0
-> Hote: thanks!..
Ответ дал:
0
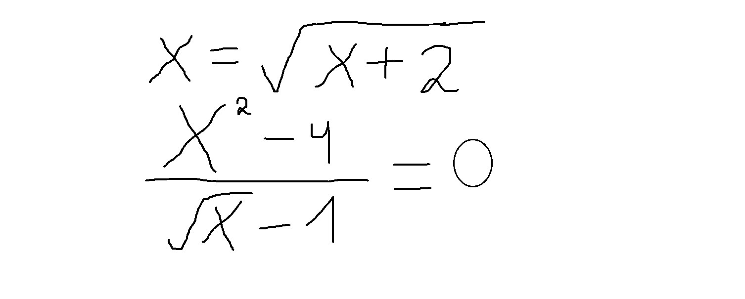
x=√(x+2)
{x≥0
{x+2≥0⇒x≥-2
x∈∈[0;∞∞)
(x²-4)/(√x-1)=0
{x≥0
{√x-1≠0⇒√x≠1⇒x≠1
x∈[0;1) U (1;∞)
(x²-1)/(√x-3)
{x≥0
{√x-3≠0⇒√x≠3⇒x≠9
x∈[0;9) U (9;∞)
{x≥0
{x+2≥0⇒x≥-2
x∈∈[0;∞∞)
(x²-4)/(√x-1)=0
{x≥0
{√x-1≠0⇒√x≠1⇒x≠1
x∈[0;1) U (1;∞)
(x²-1)/(√x-3)
{x≥0
{√x-3≠0⇒√x≠3⇒x≠9
x∈[0;9) U (9;∞)
Вас заинтересует
2 года назад
2 года назад
7 лет назад
9 лет назад
9 лет назад
10 лет назад
10 лет назад