• Предмет: Алгебра
  • Автор: isterika0803
  • Вопрос задан 11 лет назад

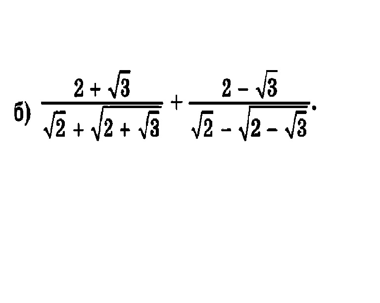
Срочно нужно решить((

Приложения:

Ответа на этот вопрос пока нет. Попробуйте найти его через форму поиска.

Вас заинтересует