• Предмет: Математика
  • Автор: RobertaStilll
  • Вопрос задан 9 лет назад

МАКСИМАЛЬНО ПРОШУ
Решите из них только ДВА (какие хотите) и ПОДРОБНО, пожалуйста :(
Завтра первый день в новой школе, не хочу опозориться :(

Приложения:

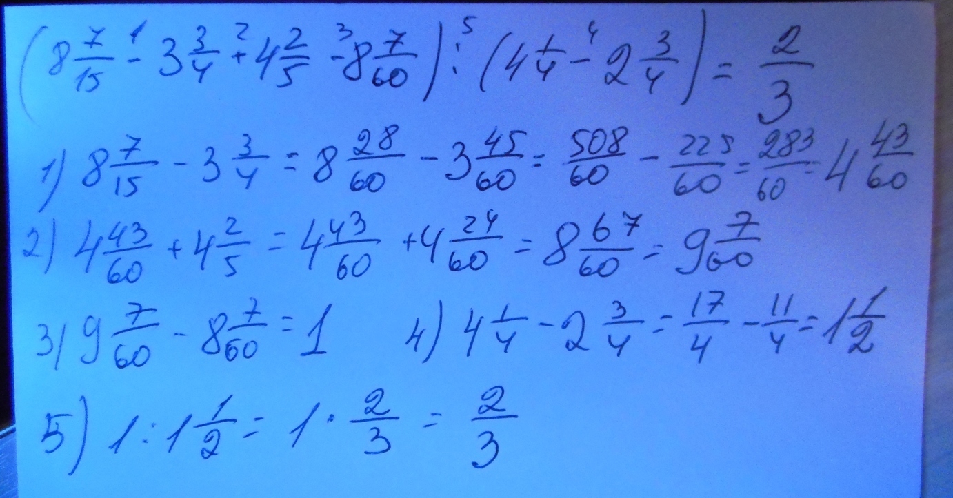
Ответы

Ответ дал: miron2077
0
!!!!!!!!!!!!!!!!!!!!!!!!!!!!!!!!!!!!!!!!!!!!!!!!!!
Приложения:
Ответ дал: miron2077
0
обнови страницу, я добавил еще один (2)
Ответ дал: RobertaStilll
0
нету
Ответ дал: miron2077
0
я добавил, вторая картинка
Вас заинтересует