Ответы
Ответ дал:
0
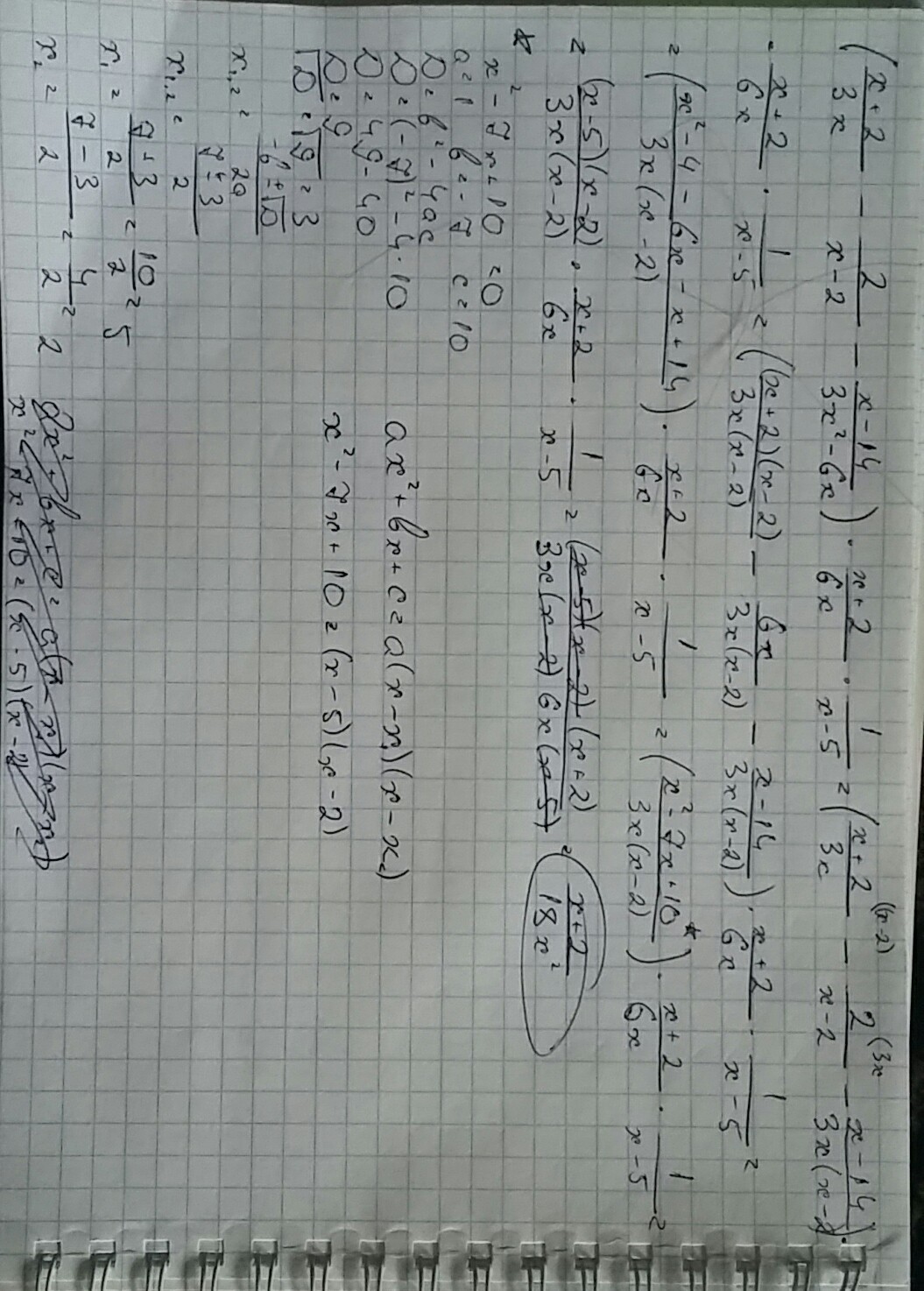
У меня так получилось
Приложения:

Ответ дал:
0
Да не за что)
Ответ дал:
0
Ой, извини) Решается, просто там другие способы: теорема Виетта, по формулам. Но в данном случае только по дискриминанту)))
Ответ дал:
0
вот нам нужно по теореме Виета
Ответ дал:
0
дискриминанд не подходит
Ответ дал:
0
Ааа
Вас заинтересует
2 года назад
2 года назад
7 лет назад
9 лет назад
10 лет назад