• Предмет: Математика
  • Автор: Kateyushkiva
  • Вопрос задан 9 лет назад

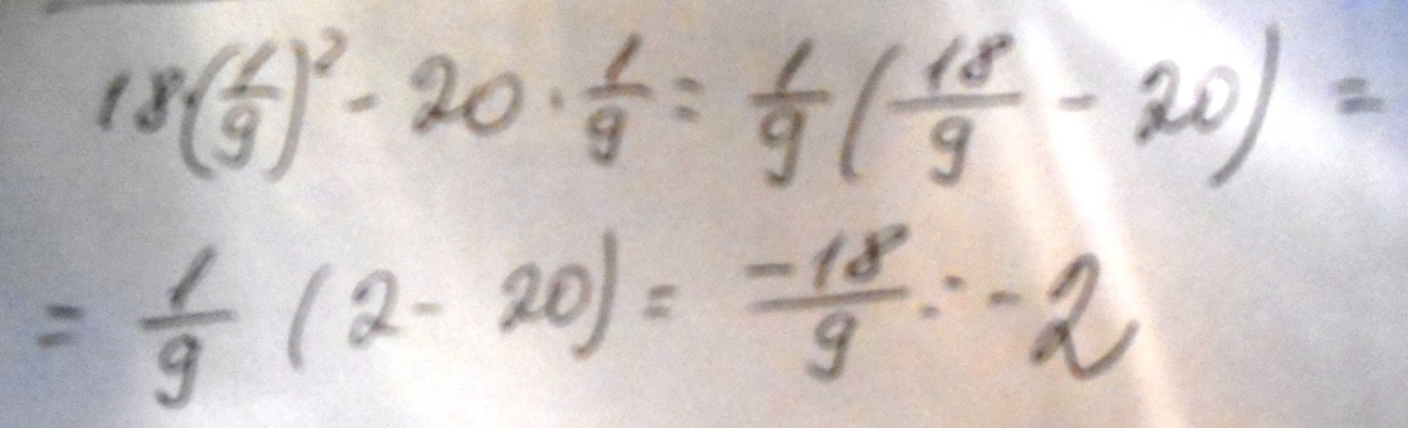
18*(1/9)квадрате -20*1/9

Ответы

Ответ дал: miron2077
0
что-то получилось не очень резко, но вроде видно
Приложения:
Вас заинтересует