• Предмет: Физика
  • Автор: dofamin
  • Вопрос задан 9 лет назад

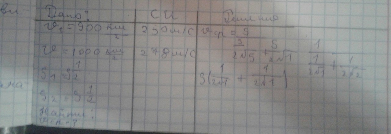
Помогите пожалуйста решить задачу по физике,только поподробнее пожалуйста.

Приложения:

Ответа на этот вопрос пока нет. Попробуйте найти его через форму поиска.

Вас заинтересует