Ответы
Ответ дал:
0
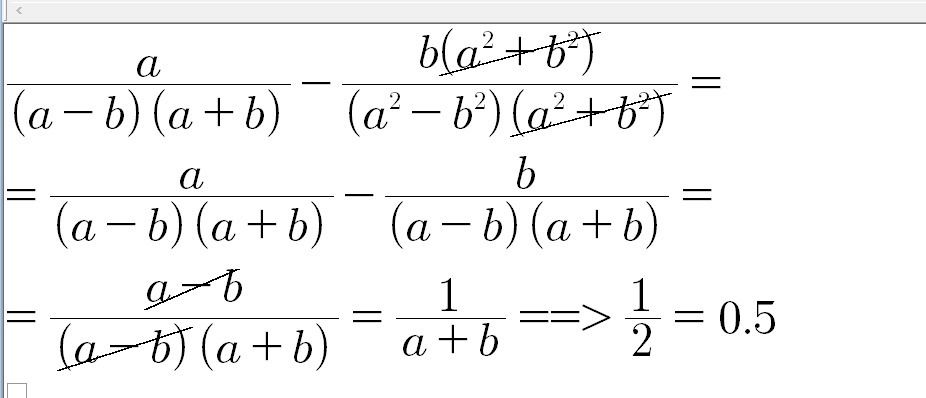
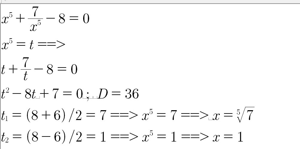
см скрины
============================
============================
Приложения:


Ответ дал:
0
блин, так и получилось, но че то завтыкал
Вас заинтересует
2 года назад
6 лет назад
9 лет назад
9 лет назад
10 лет назад