Ответы
Ответ дал:
0
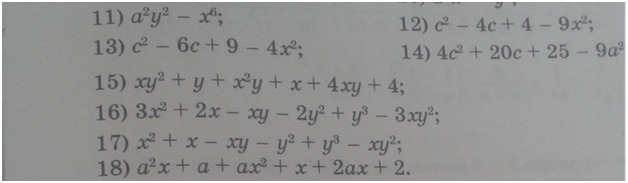
11) a²y² - x⁶ = (ay - x³)(ay + x³)
12) c² - 4c + 4 - 9x² = (c - 2)² - (3x)² = (c - 3x - 2)(c + 3x - 2)
13) c² - 6c + 9 - 4x² = (c - 3)² - (2x)² = (c - 2x - 3)(c + 2x - 3)
14) 4c² + 20c + 25 - 9a² = (2c + 5)² - (3a)² = (2c - 3a + 5)(2c + 3a + 5)
15) xy² + y + x²y + x + 4xy + 4 = y(xy + 1) + x(xy + 1) + 4(xy + 1) = (xy + 1)(x + y + 4)
16) 3x² + 2x - xy - 2y² + y³ - 3xy² = 3x² - 3xy² + 2x - 2y² + y³ - xy = 3x(x - y²) + 2(x - y²) - y(x - y²) = (x - y²)(3x - y + 2)
17) x² + x - xy - y² + y³ - xy² = x - y² + x² - xy² + y³ - xy = (x - y²) + x(x - y²) - y(x - y²) = (x - y²)(x - y + 1)
18) a²x + a + ax² + x + 2ax + 2 = a(ax + 1) + x(ax + 1) + 2(ax + 1) = (ax + 1)(a + x + 2)
12) c² - 4c + 4 - 9x² = (c - 2)² - (3x)² = (c - 3x - 2)(c + 3x - 2)
13) c² - 6c + 9 - 4x² = (c - 3)² - (2x)² = (c - 2x - 3)(c + 2x - 3)
14) 4c² + 20c + 25 - 9a² = (2c + 5)² - (3a)² = (2c - 3a + 5)(2c + 3a + 5)
15) xy² + y + x²y + x + 4xy + 4 = y(xy + 1) + x(xy + 1) + 4(xy + 1) = (xy + 1)(x + y + 4)
16) 3x² + 2x - xy - 2y² + y³ - 3xy² = 3x² - 3xy² + 2x - 2y² + y³ - xy = 3x(x - y²) + 2(x - y²) - y(x - y²) = (x - y²)(3x - y + 2)
17) x² + x - xy - y² + y³ - xy² = x - y² + x² - xy² + y³ - xy = (x - y²) + x(x - y²) - y(x - y²) = (x - y²)(x - y + 1)
18) a²x + a + ax² + x + 2ax + 2 = a(ax + 1) + x(ax + 1) + 2(ax + 1) = (ax + 1)(a + x + 2)
Вас заинтересует
2 года назад
2 года назад
7 лет назад
7 лет назад
10 лет назад
10 лет назад