СРОЧНО РЕШИТЕ!!!УМОЛЯЮ!!!!СОООС!!!
БУДТЕ ВНИМАТЕЛЬНЫ В 3-ем ТОЛЬКО ПРИ m=-1.6...n=-3.2
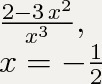
Приложения:



Ответы
Ответ дал:
0
Решение на фотографии
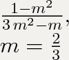
Приложения:

Вас заинтересует
2 года назад
2 года назад
6 лет назад
6 лет назад
9 лет назад
9 лет назад
10 лет назад