• Предмет: Алгебра
  • Автор: Nastya2402
  • Вопрос задан 11 лет назад

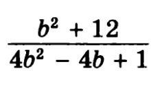
Установите, при каких значениях переменной алгебраическая дробь имеет смысл:

Приложения:

Ответы

Ответ дал: konrad509
0
\4b^2-4b+1not=0\
(2b-1)^2not=0\
bnot=frac{1}{2}\
binmathbb{R}setminus{frac{1}{2}}
Вас заинтересует