• Предмет: Математика
  • Автор: toper55
  • Вопрос задан 9 лет назад

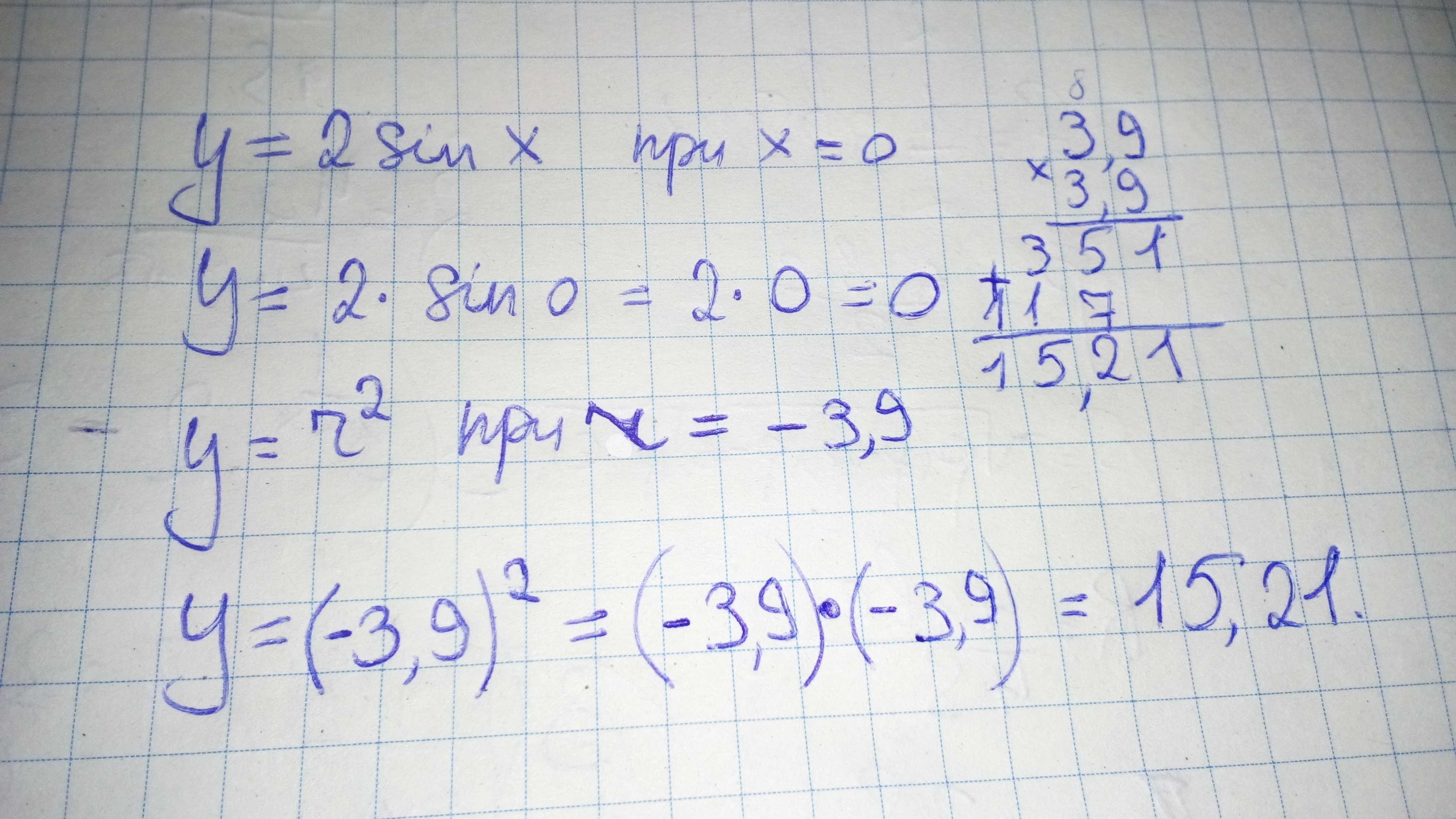
прошу помогите матем. y=2sinx при x=0
и если можно еще y=r(2)сверху при -3,9

Ответы

Ответ дал: amin07am
0
Ответ ***&*&*&*****&*&******&*&*&
Приложения:
Ответ дал: toper55
0
большое спасибо) спасли
Ответ дал: opalgeorgii
0
Смотри на фотку ниже!
Приложения:
Ответ дал: toper55
0
спасибо)
Вас заинтересует