Ответы
Ответ дал:
0
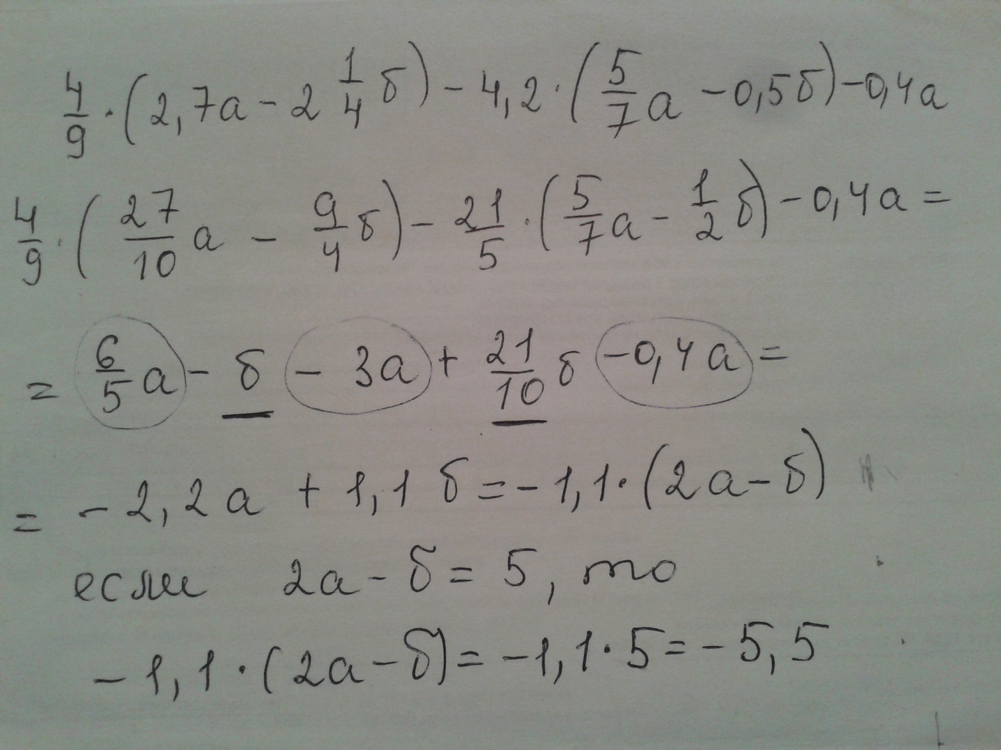
...............................
Приложения:

Ответ дал:
0
Спасибо большое очень помогли
Вас заинтересует
2 года назад
6 лет назад
6 лет назад
9 лет назад
10 лет назад