Ответы
Ответ дал:
0
Решение задания во вложении (=
Приложения:

Ответ дал:
0
Спасибо
Ответ дал:
0
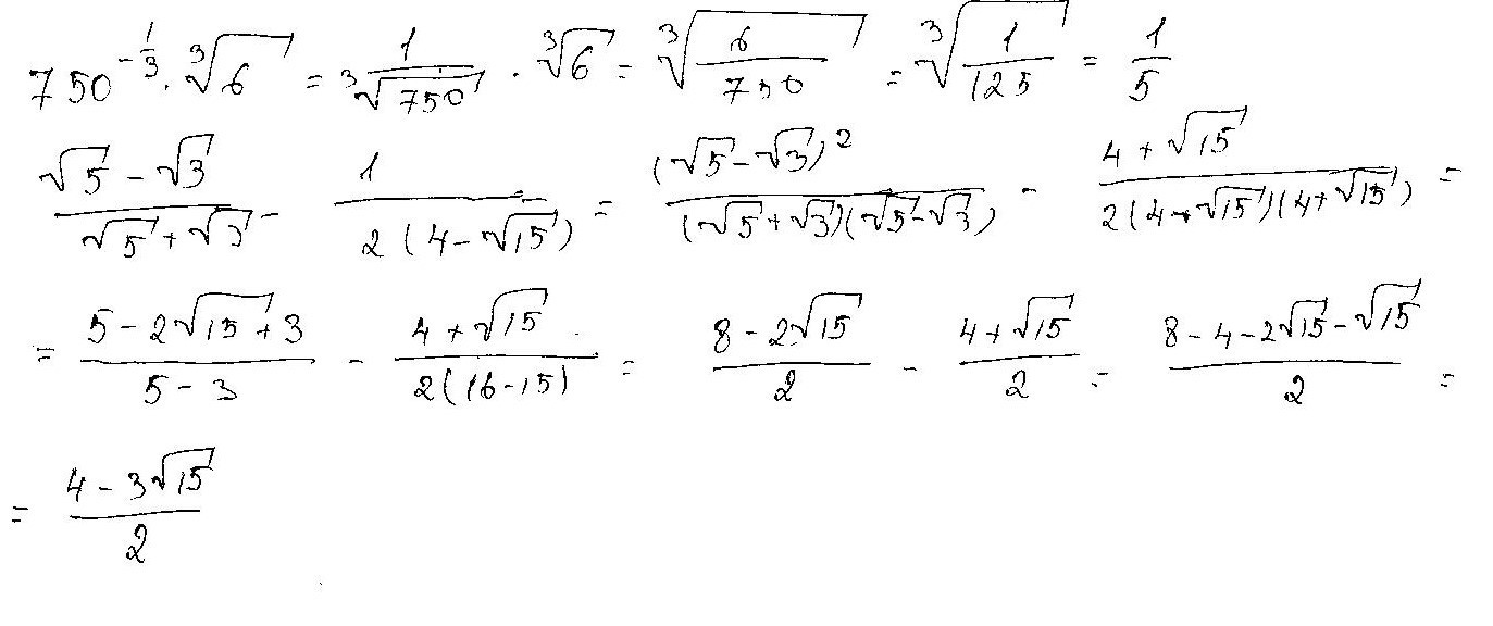
1/∛750*∛6=∛(6/750)=∛(1/125)=1/5
(√5-√3)/(√5+√3)-1/2(4-√15)=
=(√5-√3)²/[(√5+√3)(√5-√3)]-(4+√15)/2[(4-√15)(4+√15)]
=(5-2√15+3)/(5-3)-(4+√15)/2(16-15)=(8-2√15)/2-(4+√15)/2=
=(8-2√15-4-√15)/2=(4-3√15)/2
(√5-√3)/(√5+√3)-1/2(4-√15)=
=(√5-√3)²/[(√5+√3)(√5-√3)]-(4+√15)/2[(4-√15)(4+√15)]
=(5-2√15+3)/(5-3)-(4+√15)/2(16-15)=(8-2√15)/2-(4+√15)/2=
=(8-2√15-4-√15)/2=(4-3√15)/2
Приложения:

Вас заинтересует
2 года назад
2 года назад
6 лет назад
9 лет назад
10 лет назад