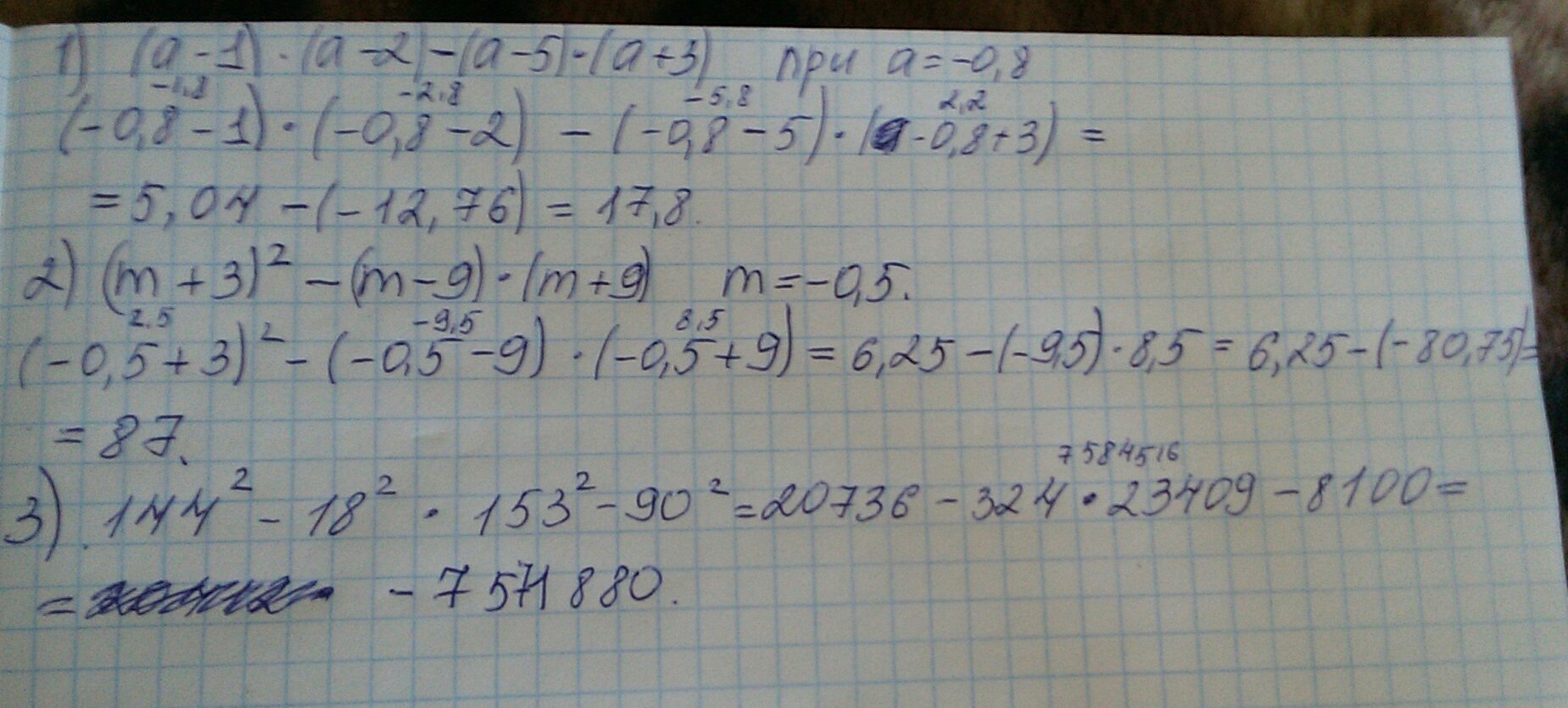
Помогите пожалуйста срочно надо решить примеры. 1.(a-1)(a-2)-(a-5)(a+3) при a=-0,8 2.(m+3)в квадрате - (m-9)(m+9) при m=-0,5 3.144в квадрате - 18 в квадрате
153в квадрате - 90в квадрате
Ответы
Ответ дал:
0
решение предоставлено на изображении.
насчёт 3 цифры сомнения
насчёт 3 цифры сомнения
Приложения:

Ответ дал:
0
парп
Вас заинтересует
2 года назад
7 лет назад
7 лет назад
9 лет назад
9 лет назад
10 лет назад