• Предмет: Алгебра
  • Автор: vityanikitin
  • Вопрос задан 9 лет назад

Помогите пажалуйста! Заранее спасибо Найдите корень уровнения
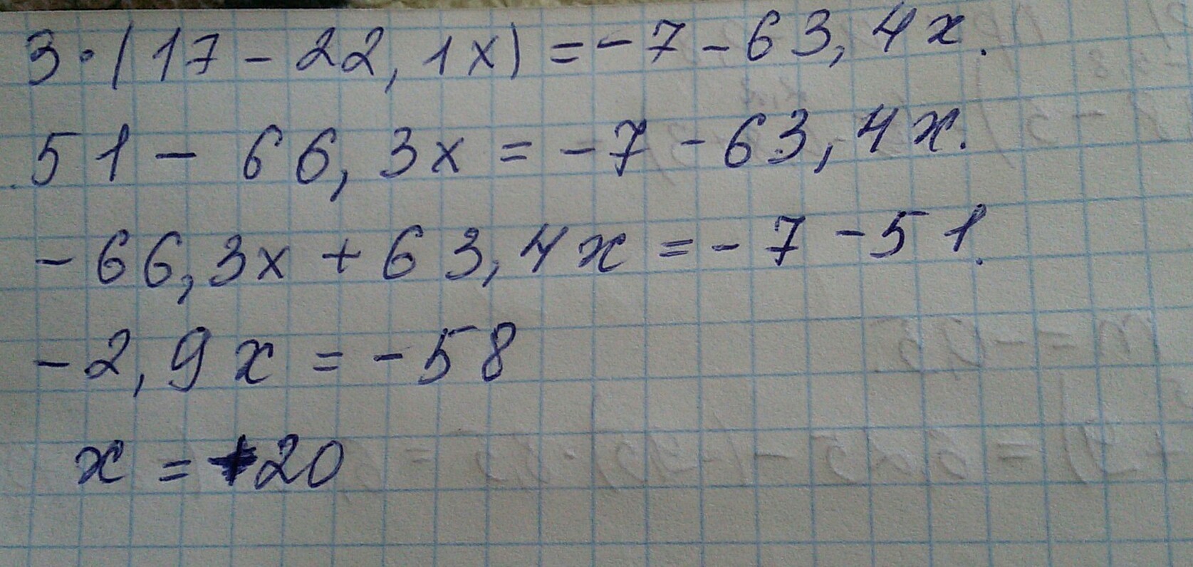
3(17-22.1х) = -7-63,4х

Ответы

Ответ дал: jay9
0
решение предоставлено на изображении. ответ решения 20
Приложения:
Вас заинтересует