Ответы
Ответ дал:
0
620-(х-23)=134
620-х+23=134
-х=134-620-23
-х=-509
х=509
5х+48=383
5х=383-48
5х=335
х=335:5
х=67
620-х+23=134
-х=134-620-23
-х=-509
х=509
5х+48=383
5х=383-48
5х=335
х=335:5
х=67
Приложения:

Ответ дал:
0
только в столбик пж дам много
Ответ дал:
0
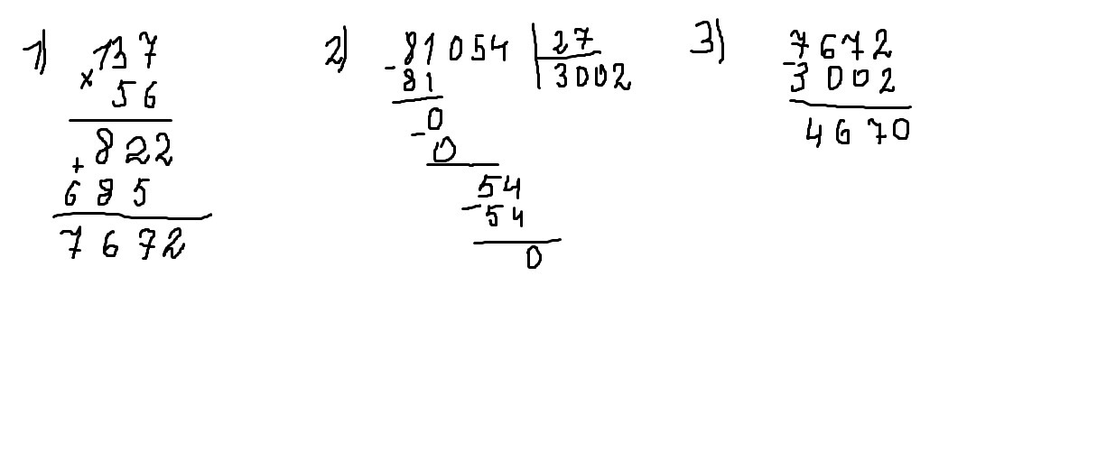
137*56-81054:27
Ответ дал:
0
1) 137*56=7672 2) 81054:27=3002 3) 7672-3002=4670
Ответ дал:
0
в стобик так и я могу решить ладно спс
Ответ дал:
0
решила столбиком. смотри выше
Вас заинтересует
2 года назад
6 лет назад
9 лет назад
9 лет назад