Ответы
Ответ дал:
0
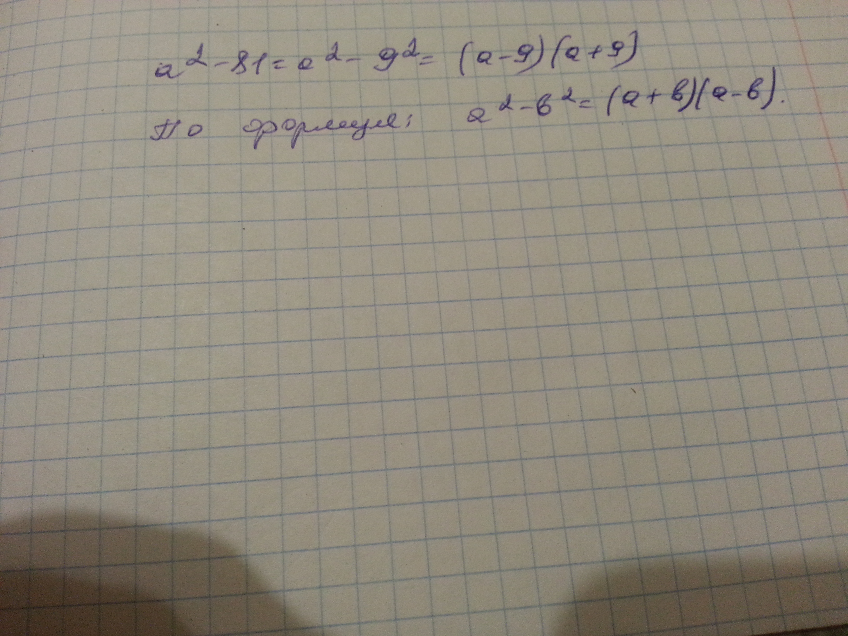
Тут формула разности квадратов:
a² - 81 = (a - 9)(a + 9)
a² - 81 = (a - 9)(a + 9)
Ответ дал:
0
Ответ
///////////////////////
///////////////////////
Приложения:

Вас заинтересует
2 года назад
2 года назад
6 лет назад
6 лет назад
9 лет назад
9 лет назад
10 лет назад
10 лет назад