• Предмет: Математика
  • Автор: дашлвлалав
  • Вопрос задан 9 лет назад

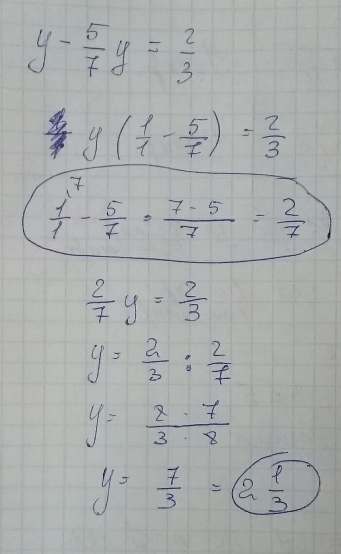
2 задание . Помогите пожалуйста, вообще не можем решить , БУДУ ОЧЕНЬ БЛАГОДАРНА ЕСЛИ ПОМОЖЕТЕ

Приложения:

Ответы

Ответ дал: Незнайка1111114511
0
.....................
Приложения:
Ответ дал: дашлвлалав
0
ОГРОМНОЕ СПАСИБО
Вас заинтересует