Помогите прошу на фото информация
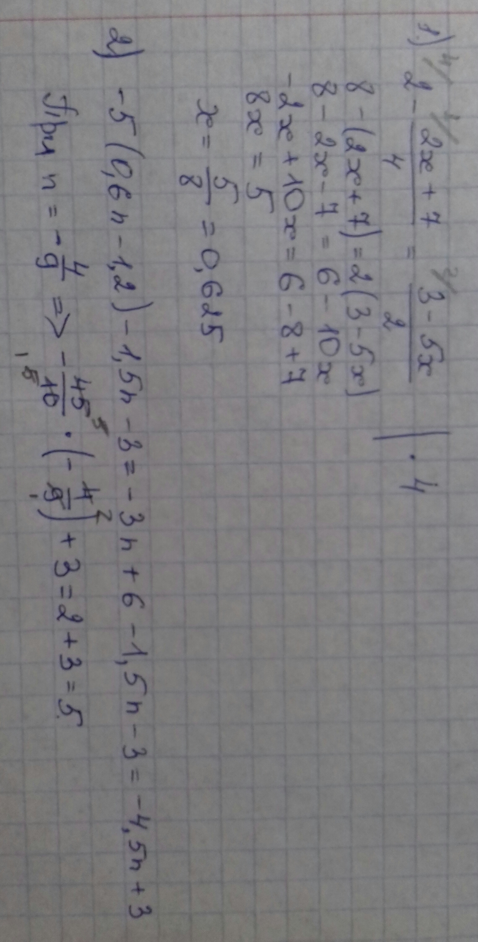
1) решить уравнения
2) упростить и найти значения при n=-4/9
Приложения:

Ответы
Ответ дал:
0
Пиши ровнее. В экзамене пригодится.
Приложения:

Вас заинтересует
2 года назад
2 года назад
9 лет назад
9 лет назад