• Предмет: Алгебра
  • Автор: мчрлоаедсвшьа95269
  • Вопрос задан 9 лет назад

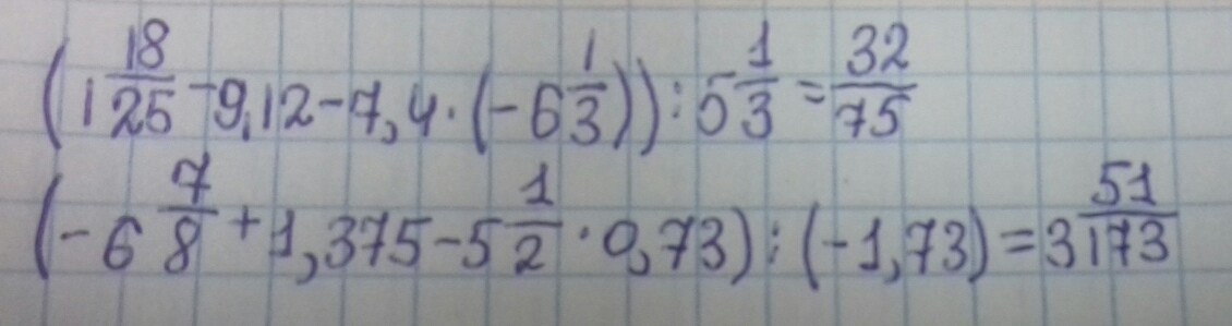
РЕШИТЕ ПЖ пожалуйста даю 35 балов

Приложения:

Ответы

Ответ дал: ValentinkaMashkova
0
Ответ во вложении)))))
Приложения:
Ответ дал: мчрлоаедсвшьа95269
0
д--а
Вас заинтересует