• Предмет: Математика
  • Автор: ксеняния
  • Вопрос задан 9 лет назад

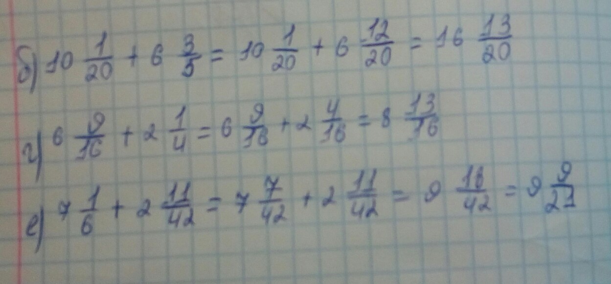
Б )10 1/20 + 6 3/5
Г) 6 9/16 + 2 1/4
Е)7 1/6 + 2 11/42

Ответы

Ответ дал: NoyaFox
0
...........................
Приложения:
Ответ дал: ксеняния
0
Спасибо спасла
Вас заинтересует