• Предмет: Алгебра
  • Автор: ulianaazet66
  • Вопрос задан 9 лет назад

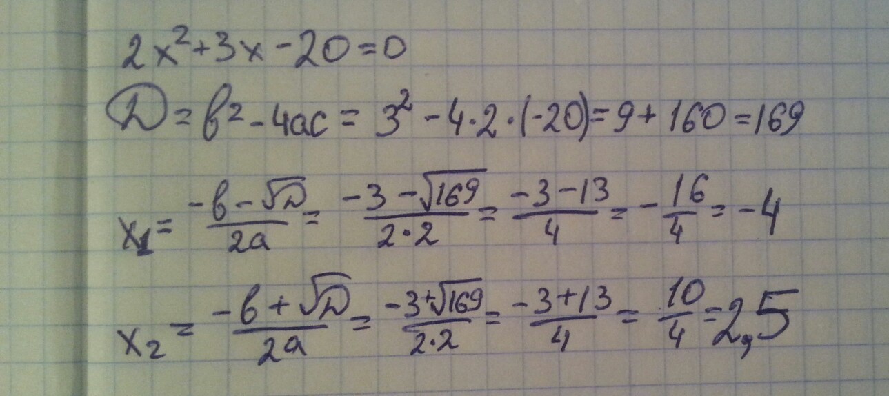
2x²+3x-20=0
Пожалуйста кто может решить?

Ответы

Ответ дал: greenflame
0
это решается дискреминантом
Приложения:
Ответ дал: ulianaazet66
0
Спасибо!
Вас заинтересует