Ответы
Ответ дал:
0
Не все конечно, но хотябы это)
Приложения:
Ответ дал:
0
все равно, спасибо :)))
Ответ дал:
0
незачто)
Ответ дал:
0
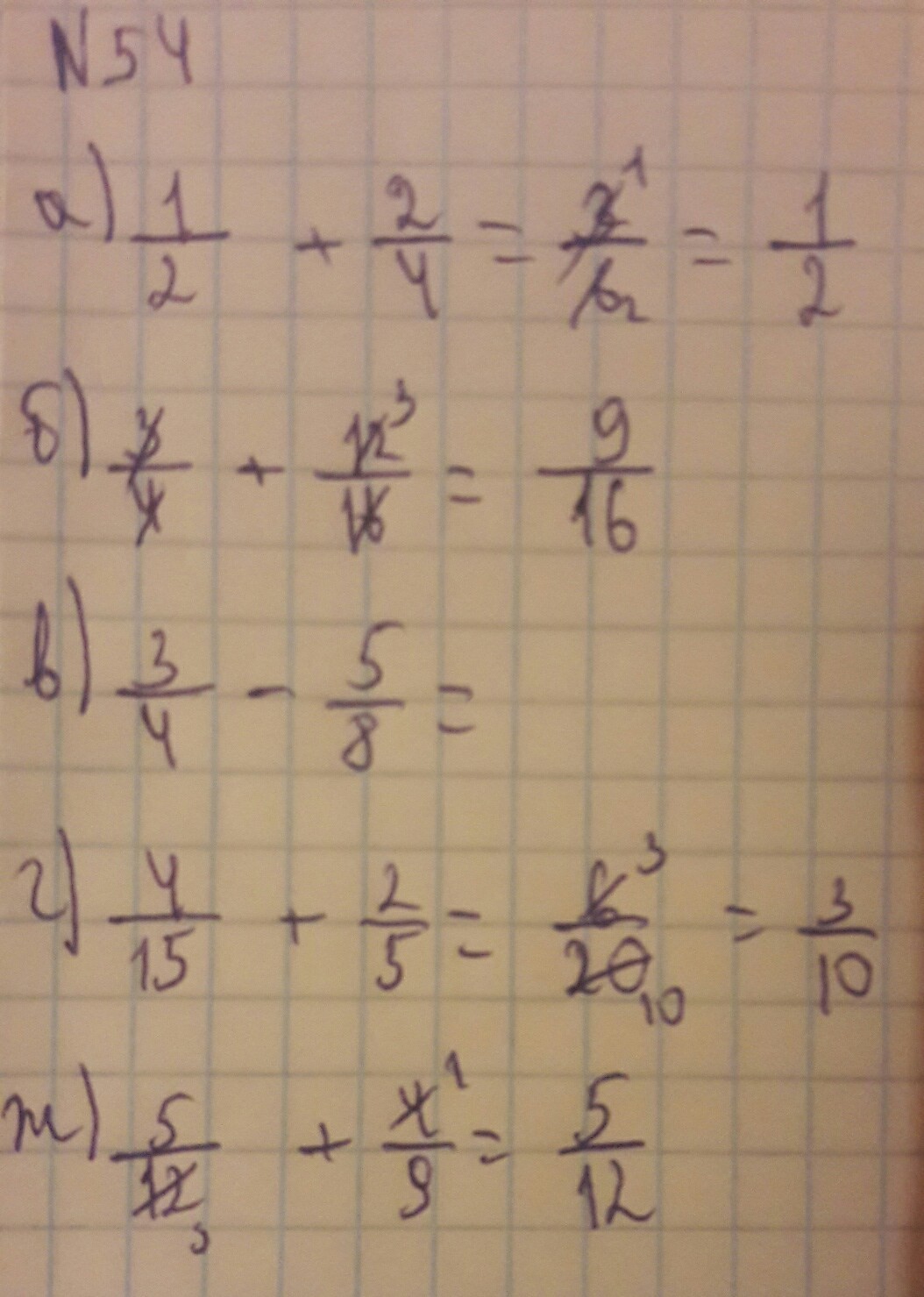
а)1/2+2/4=2/4+2/4=4/4=1
б)3/4+12/16=12/16+12/16=24/16= 1 целая 1/2=1,5
в)3/4-5/8=6/8-5/8=1/8
г)4/15+2/5=4/15+6/15=10/15=2/3
д)2/3-3/5=10/15-9/15=1/15
е)3/7-3/8=24/56-21/56=3/56
ж)5/12+4/9=15/36+16/36=31/36
з)7/8-17/20=35/40-34/10=1/40
б)3/4+12/16=12/16+12/16=24/16= 1 целая 1/2=1,5
в)3/4-5/8=6/8-5/8=1/8
г)4/15+2/5=4/15+6/15=10/15=2/3
д)2/3-3/5=10/15-9/15=1/15
е)3/7-3/8=24/56-21/56=3/56
ж)5/12+4/9=15/36+16/36=31/36
з)7/8-17/20=35/40-34/10=1/40
Приложения:
Ответ дал:
0
спасибо большое!! :3 (-0-)/
Вас заинтересует
2 года назад
2 года назад
7 лет назад
7 лет назад
10 лет назад
10 лет назад
10 лет назад
10 лет назад