Ответы
Ответ дал:
0
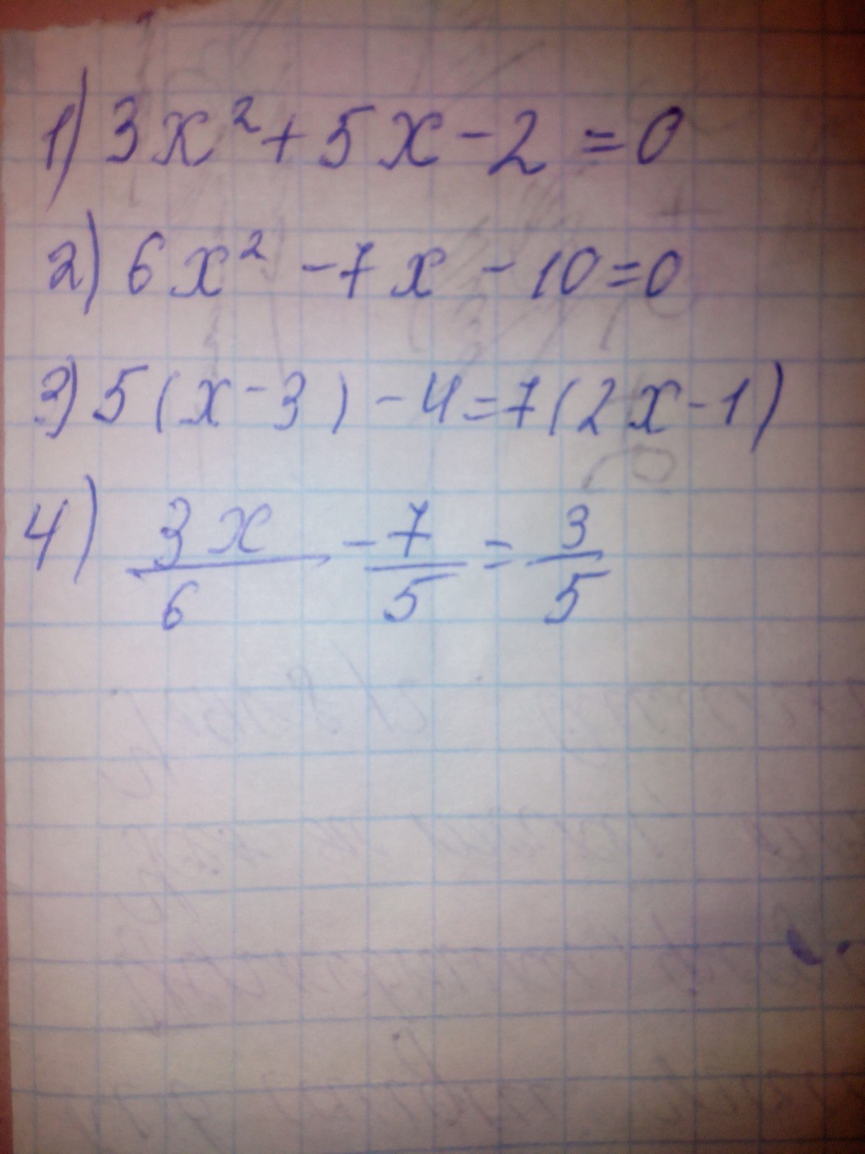
1) 3х² + 5х -2 = 0-
D = b² - 4ac = 25 - 4*3*(-2) = 49 > 0 (2 корня)
х₁ = (-5+7)/6 = 2/6 = 1/3
х₂ = (-5 -7)/6 = -12/6 = -2
2) 6х² -7х -10 = 0
D = b² - 4ac = 49 -4*6*(-10) = 289>0(2 корня)
х₁ = (7 +17)/12 = 24/12 = 2
х₂=(7 -17)/12 = -10/12 = -5/6
3)5(х - 3) - 4 = 7(2х -1)
15х -15 - 4 = 14х - 7
15х - 14х = -7 +15 +4
х = 12
4) 3х/6 -7/5 =3/5
3х/6 = 3/5 + 7/5
х/2 = 10/5
х/2 = 2
х = 4
D = b² - 4ac = 25 - 4*3*(-2) = 49 > 0 (2 корня)
х₁ = (-5+7)/6 = 2/6 = 1/3
х₂ = (-5 -7)/6 = -12/6 = -2
2) 6х² -7х -10 = 0
D = b² - 4ac = 49 -4*6*(-10) = 289>0(2 корня)
х₁ = (7 +17)/12 = 24/12 = 2
х₂=(7 -17)/12 = -10/12 = -5/6
3)5(х - 3) - 4 = 7(2х -1)
15х -15 - 4 = 14х - 7
15х - 14х = -7 +15 +4
х = 12
4) 3х/6 -7/5 =3/5
3х/6 = 3/5 + 7/5
х/2 = 10/5
х/2 = 2
х = 4
Вас заинтересует
2 года назад
2 года назад
7 лет назад
7 лет назад
10 лет назад
10 лет назад
10 лет назад