• Предмет: Алгебра
  • Автор: elenakan2003
  • Вопрос задан 9 лет назад

Нужны срочно дополнительные формулы для формул сокращенного умножения

Ответы

Ответ дал: mrSergo37
0
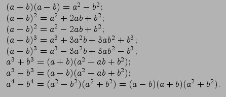
держи))) и лучше выучи
Приложения:
Вас заинтересует