Алгебра!
Все примеры
50 баллов!
Желательно на на листике ,а после чего отправьте фото,если можно!:>
Приложения:
Ответы
Ответ дал:
0
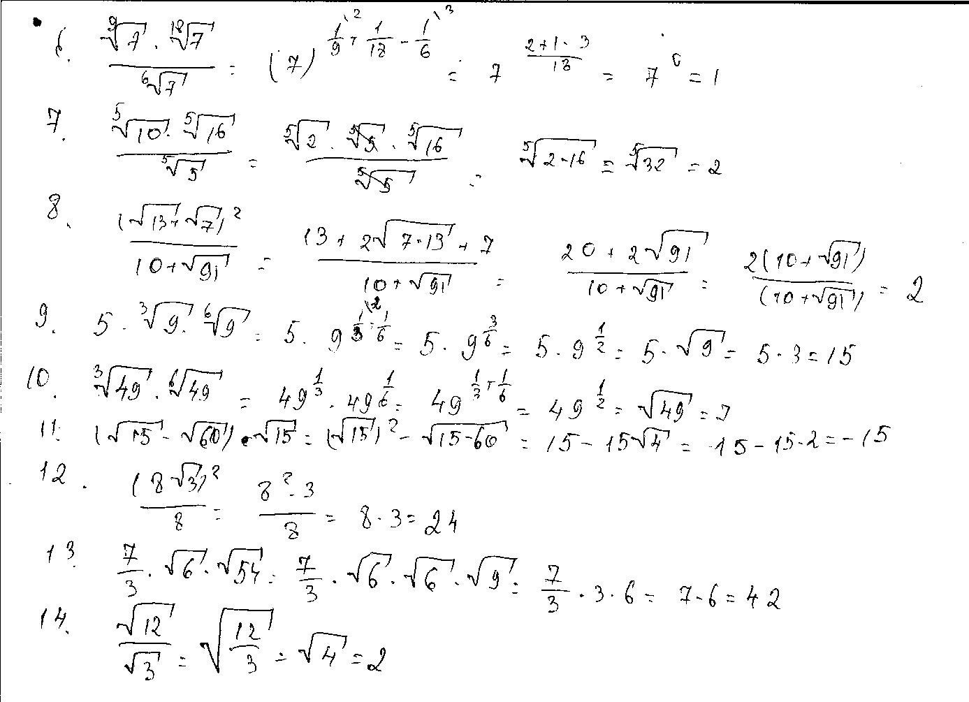
Решение задания во вложении.
Приложения:
Вас заинтересует
2 года назад
7 лет назад
7 лет назад
10 лет назад
10 лет назад
10 лет назад
10 лет назад