• Предмет: Математика
  • Автор: asemamadina
  • Вопрос задан 9 лет назад

ПОМОГИТЕ, СРОЧНО НУЖНО!

Приложения:

Ответы

Ответ дал: lizok999999
0
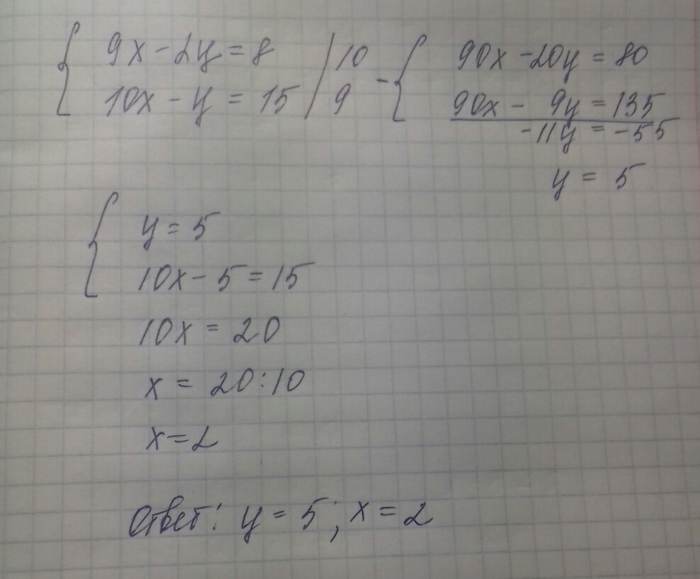
кажется, должно быть так
Приложения:
Вас заинтересует