• Предмет: Математика
  • Автор: AngelTi
  • Вопрос задан 9 лет назад

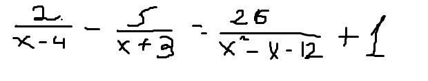
Помогите решить уравнение
(говорили что нужно как то использовать формулу a(x-x1)(x-x2)

Приложения:

Ответа на этот вопрос пока нет. Попробуйте найти его через форму поиска.

Вас заинтересует