Ответы
Ответ дал:
0
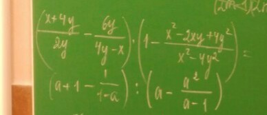
2)а-а2-а/1-а:а2-а-а2/а-1
А*(-1)
-а
Долбаное правило 20 чисел)
А*(-1)
-а
Долбаное правило 20 чисел)
Приложения:


Вас заинтересует
2 года назад
2 года назад
7 лет назад
9 лет назад
9 лет назад