• Предмет: Алгебра
  • Автор: kn2edd
  • Вопрос задан 9 лет назад

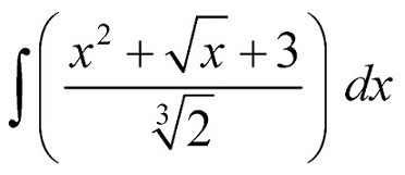
ПОЖАЛУЙСТА ПОМОГИТЕ с решением

Приложения:

Ответы

Ответ дал: amin07am
0
Ответ
&&&&&&&&&&&&&&&&&&&&&&&&
Приложения:
Вас заинтересует