Ответы
Ответ дал:
0
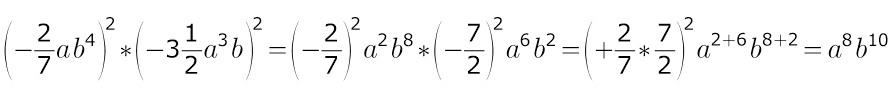
нужно каждый множитель возвести в соответствующую степень...
Приложения:

Вас заинтересует
2 года назад
2 года назад
6 лет назад
6 лет назад
9 лет назад
9 лет назад