• Предмет: Алгебра
  • Автор: VIAD90
  • Вопрос задан 9 лет назад

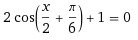
Нужная помощь с решением уравнения

Приложения:

Ответа на этот вопрос пока нет. Попробуйте найти его через форму поиска.

Вас заинтересует