Ответы
Ответ дал:
0
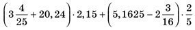
(3 4/25 + 20,24)·2,15 + (5,1625 - 2 3/16)·2/5 = 51,5
1) 3 4/25 + 20,24 = 3,16 + 20,24 = 23,4
2) (5,1625 - 2 3/16) = (5,1625 - 2,1875) = 2,975
3) 23,4·2,15 = 50,31
4) 2,975·0,4 = 1,19
5) 50,31 + 1,19 = 51,5
1) 3 4/25 + 20,24 = 3,16 + 20,24 = 23,4
2) (5,1625 - 2 3/16) = (5,1625 - 2,1875) = 2,975
3) 23,4·2,15 = 50,31
4) 2,975·0,4 = 1,19
5) 50,31 + 1,19 = 51,5
Вас заинтересует
2 года назад
7 лет назад
10 лет назад
10 лет назад
10 лет назад