Ответы
Ответ дал:
0
Вот, сам написал. Надеюсь правильно :)
Приложения:

Ответ дал:
0
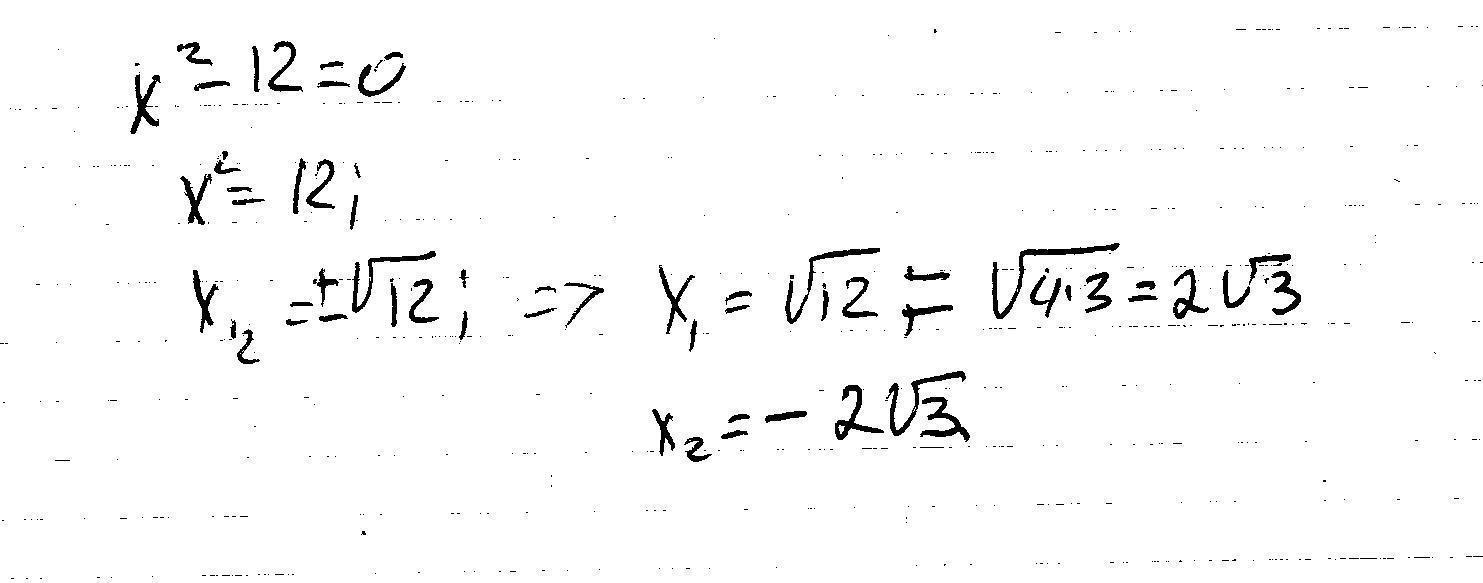
X²-12=0
X²=12
X=6
Легко!!!!
X²=12
X=6
Легко!!!!
Приложения:

Вас заинтересует
2 года назад
2 года назад
6 лет назад
6 лет назад
9 лет назад
10 лет назад