• Предмет: Алгебра
  • Автор: Катя242045
  • Вопрос задан 9 лет назад

Помогите пожалуйста
Повторения 7 класса
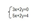
Решите систему уравнений способом сложения:

Приложения:

Ответы

Ответ дал: mikael2
0
3x+2y=0
5x+2y=4

вычтем из второго у-я первое
2x=4    x = 2     2y=-3x=-6    y=-3
Вас заинтересует