Ответы
Ответ дал:
0
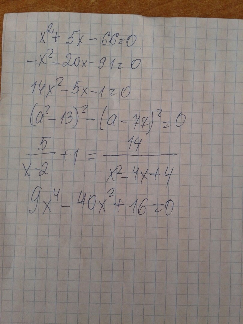
1)x²+5x-66=0
Воспользуемся т.Виета
Т.к. |a|=1
x1+x2=-5 ⇒ x1=6
x1⋅x2=-66 ⇒ x2=-11
2)-x²-20x-91=0
Воспользуемся т.Виета
x1+x2=-20 ⇒ x1=-13
x1*x2=91 ⇒ x2=-7
3)14x²-5x-1=0
Через дискриминант

5)
6)
Воспользуемся т.Виета
Т.к. |a|=1
x1+x2=-5 ⇒ x1=6
x1⋅x2=-66 ⇒ x2=-11
2)-x²-20x-91=0
Воспользуемся т.Виета
x1+x2=-20 ⇒ x1=-13
x1*x2=91 ⇒ x2=-7
3)14x²-5x-1=0
Через дискриминант
5)
6)
Ответ дал:
0
а 4примера нету ?
Вас заинтересует
2 года назад
2 года назад
7 лет назад
10 лет назад
10 лет назад
10 лет назад