Ответы
Ответ дал:
0
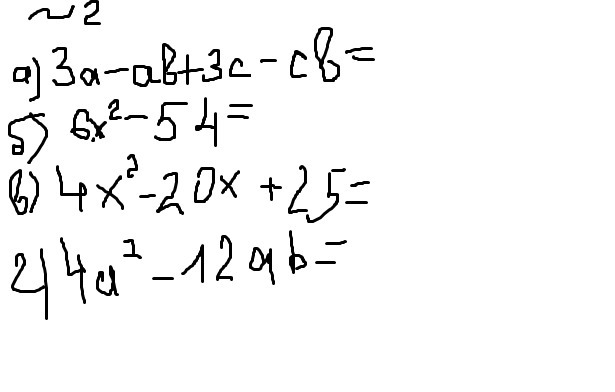
1) 3а-аb+3c-cb= (3a+3c)-(ab+cb)=3(a+c)-b(a+c)=(3-b)(a+c)
2)6x²-54=6(x²-9)=6(x-3)(x+3)
3)4x²-20x+25=
4)4a²-12ab=4a(a-3b)
Наверное так
2)6x²-54=6(x²-9)=6(x-3)(x+3)
3)4x²-20x+25=
4)4a²-12ab=4a(a-3b)
Наверное так
Ответ дал:
0
Спасибо! очень помогла математичка! гнабит
Вас заинтересует
2 года назад
2 года назад
7 лет назад
7 лет назад
10 лет назад
10 лет назад
10 лет назад