Ответы
Ответ дал:
0
№6
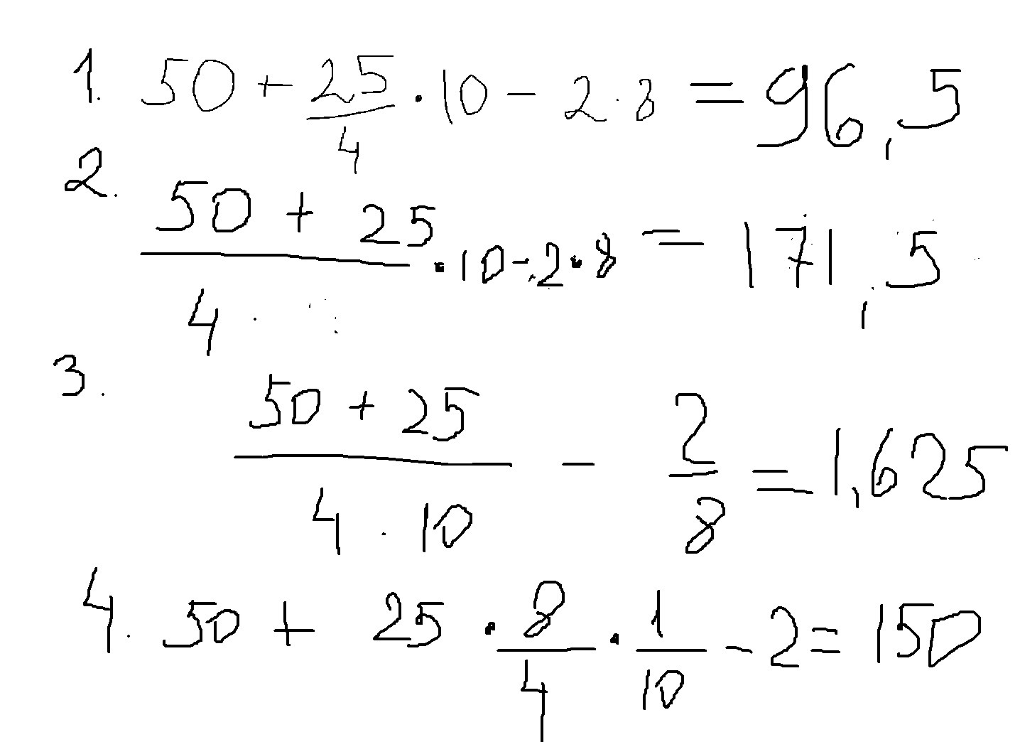
(92-29)/(3+6)=7
31/61+24*2/96=0,25
(exp(7*in(2))-30)/138*3=2,13 ( округлённая десят. дробь)
(25+exp(2*in(3)))/(11*6-64)=17
№7
* -это умножение а / (слэш) деление или дробь
вроде как правильно ..
(92-29)/(3+6)=7
31/61+24*2/96=0,25
(exp(7*in(2))-30)/138*3=2,13 ( округлённая десят. дробь)
(25+exp(2*in(3)))/(11*6-64)=17
№7
* -это умножение а / (слэш) деление или дробь
вроде как правильно ..
Приложения:

Вас заинтересует
2 года назад
6 лет назад
6 лет назад
9 лет назад
9 лет назад
10 лет назад