• Предмет: Алгебра
  • Автор: alemwww
  • Вопрос задан 9 лет назад

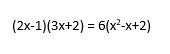
помогите, пожалуйста

Приложения:

Ответы

Ответ дал: staefanida
0
Вроде вот так решается
Приложения:
Ответ дал: alemwww
0
Спасибо большое. Даже немного стыдно, что забыл, как решать уравнения
Ответ дал: staefanida
0
Ничего в этом стыдного нет. Скоро всё вспомнишь)
Вас заинтересует