Ответы
Ответ дал:
0
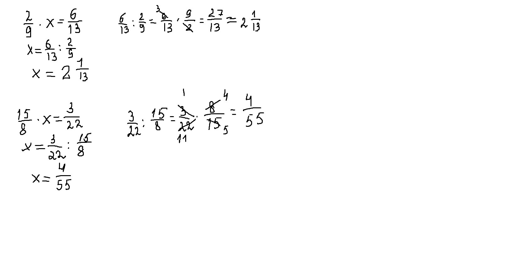
решение уравнений смотри внизу
Приложения:

Вас заинтересует
6 лет назад
9 лет назад
9 лет назад
10 лет назад