• Предмет: Алгебра
  • Автор: Аноним
  • Вопрос задан 9 лет назад

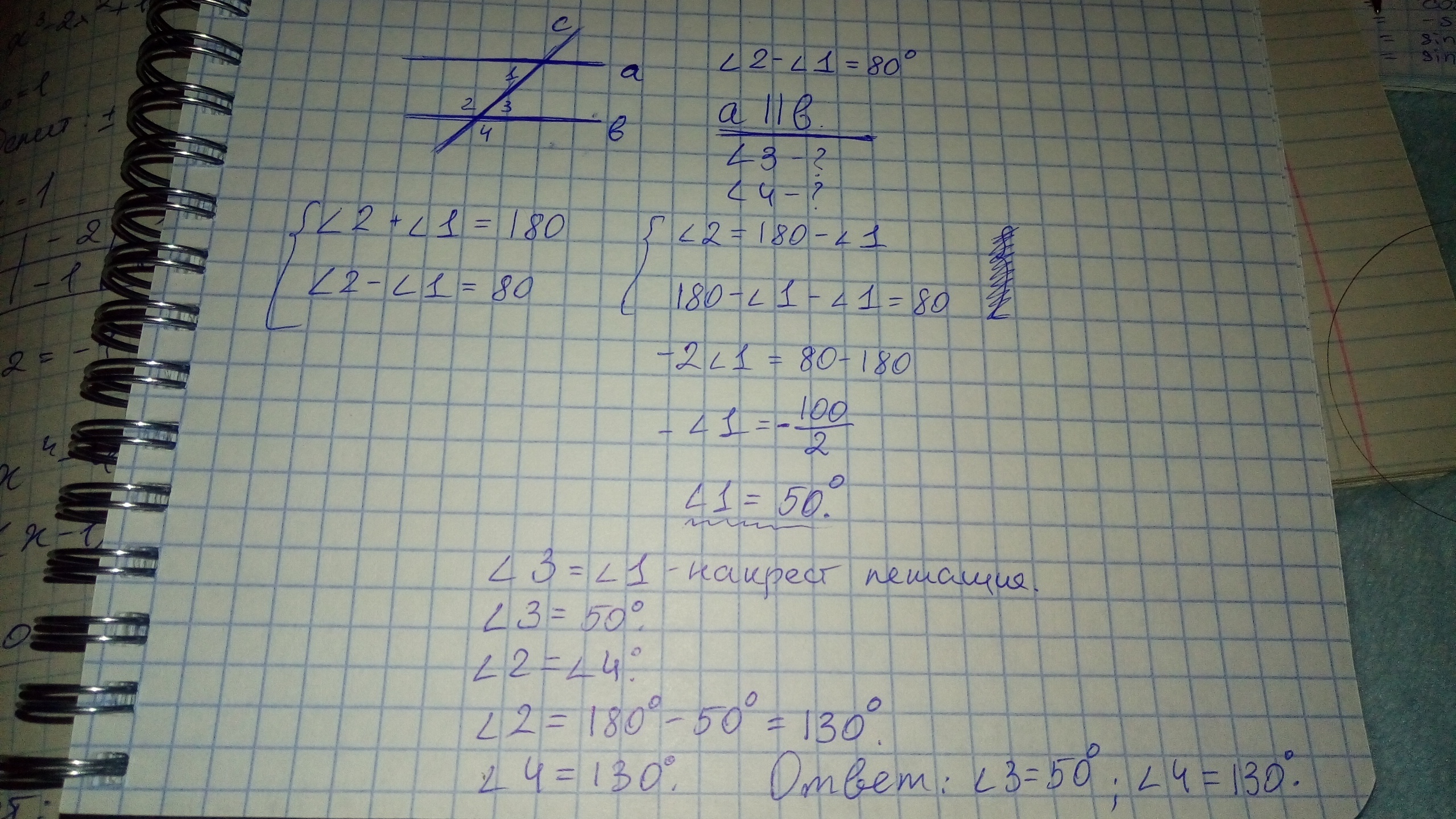
Рис. 12 угол 2 - угол 1 =80(градусам), а параллелен б
Найти: угол 3 и 4

Приложения:

Ответы

Ответ дал: Nikitunya
0
угол 3 также равен 80, а 4(180-80) равен 100
это смежные и накрест лежащие углы
Ответ дал: panikvidze
0
Мне стало лень писать, вот короче
Приложения:
Вас заинтересует