• Предмет: Алгебра
  • Автор: hodyukmaria
  • Вопрос задан 9 лет назад

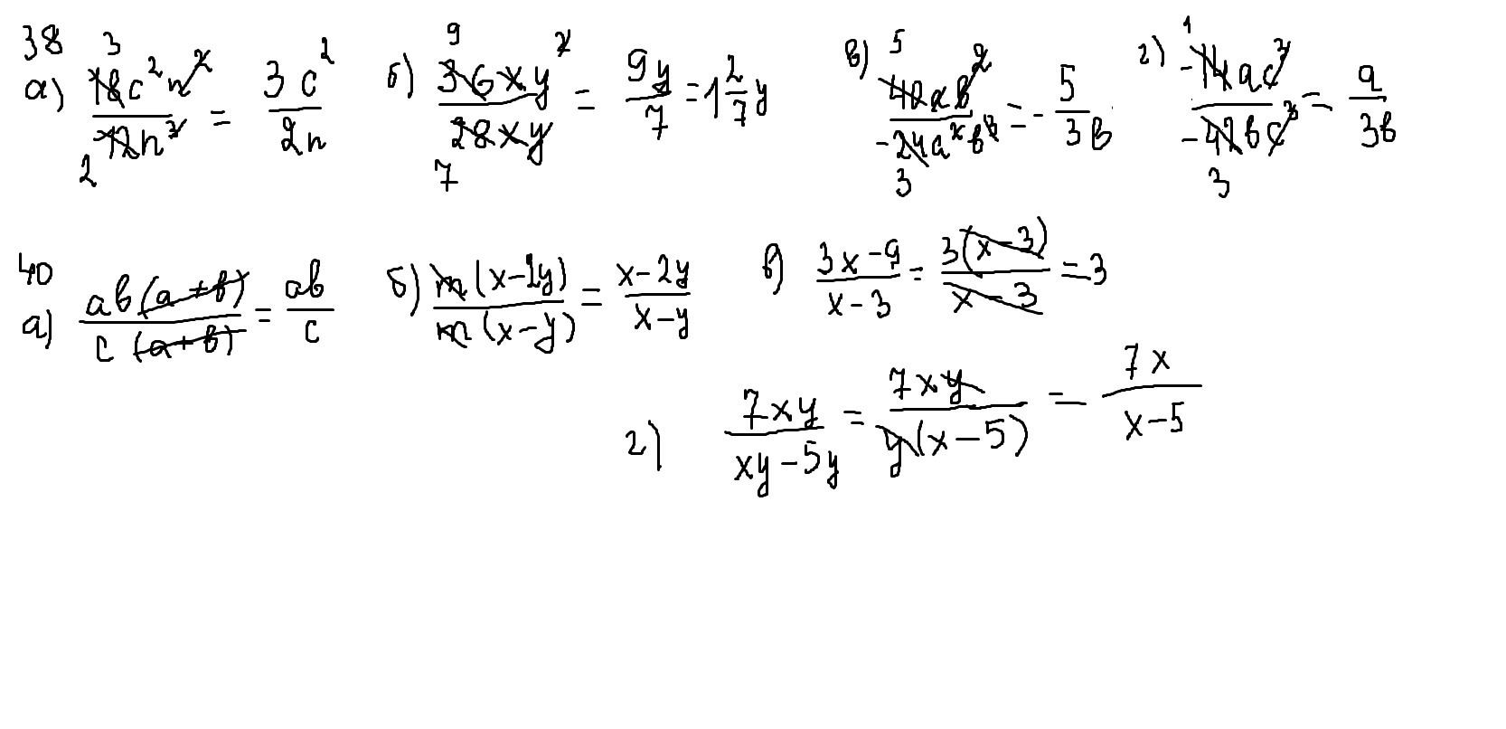
поможіть зробити 38, 40 номера. Дуже прошу!

Приложения:

Ответы

Ответ дал: parus77
0
смотри решение на картинке
Приложения:
Вас заинтересует