Помогите пожалуйста !
Заранее огромное спасибо !
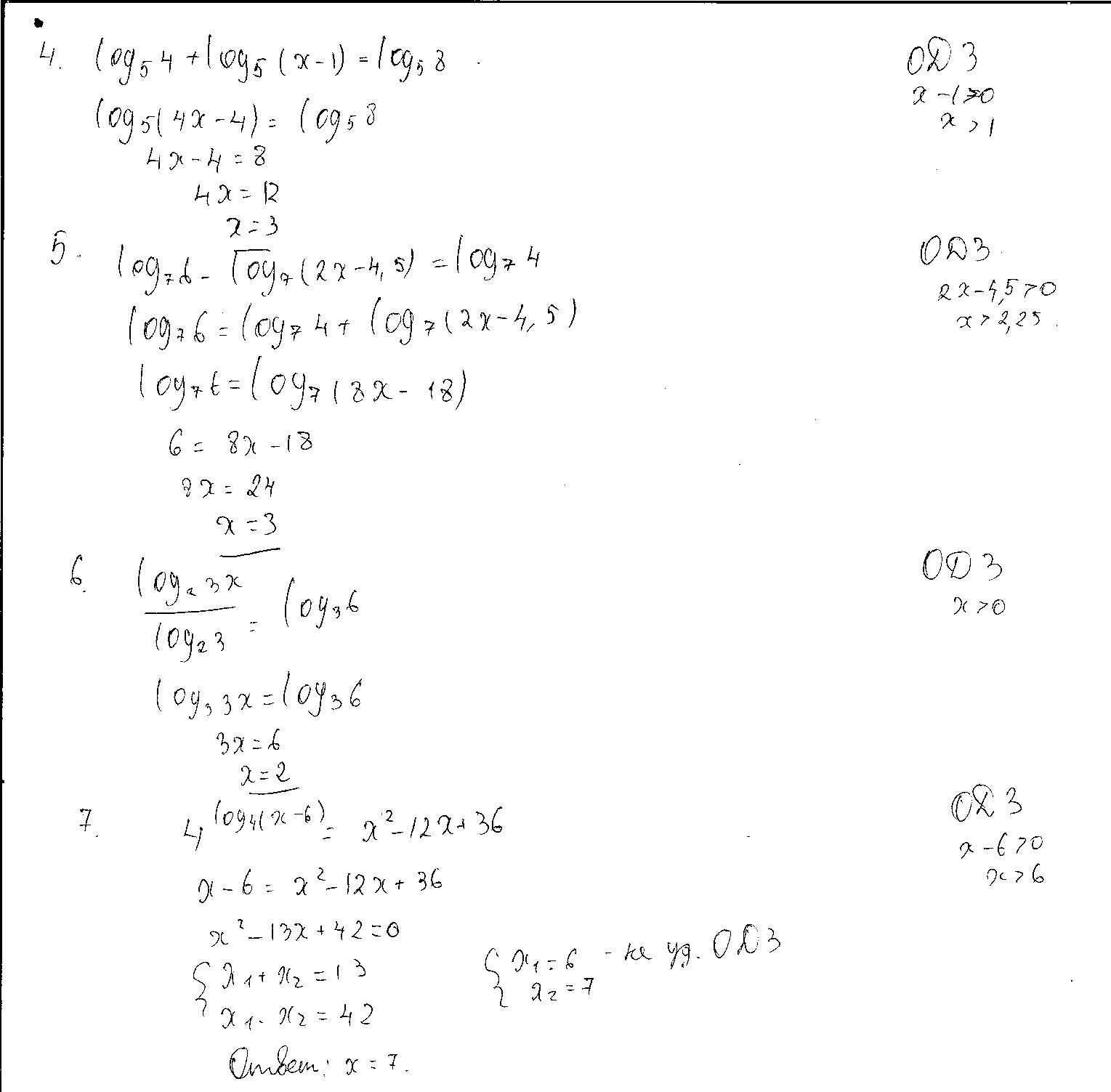
Решения + ответы
Можете решить сфотографировать и прислать.
Здесь не так уж и сложно !
Без флуда, по делу !
Ставлю луйший ответ всегда !
Приложения:

Ответы
Ответ дал:
0
Решение задания во вложении.
Приложения:

Ответ дал:
0
7) (x-6) =(x-6)² ⇒ 1 =x-6 (т.к. x≠6 ,точнее>6 )
Ответ дал:
0
На решение это не влияет.
Ответ дал:
0
Конечно
Ответ дал:
0
Ответ
□□□□□□□□□□□□□□□□□□□□□□□□□
□□□□□□□□□□□□□□□□□□□□□□□□□
Приложения:

Вас заинтересует
2 года назад
6 лет назад
6 лет назад
9 лет назад