Ответы
Ответ дал:
0
В числителе второй дроби
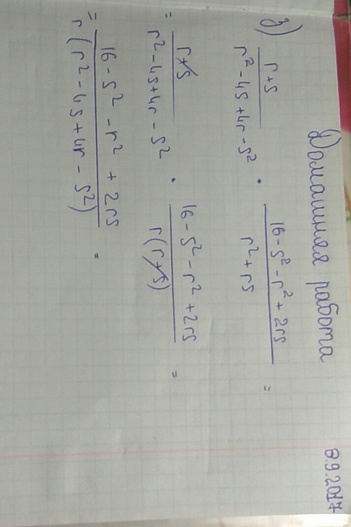
16 - s² - r² + 2*r*s = 16 - (s+r)² = (4-s+r)*(4+s+r)
В знаменателе первой
r²-4s+4r-s² = r(r+4) -s*(s+4)
16 - s² - r² + 2*r*s = 16 - (s+r)² = (4-s+r)*(4+s+r)
В знаменателе первой
r²-4s+4r-s² = r(r+4) -s*(s+4)
Вас заинтересует
2 года назад
2 года назад
7 лет назад
7 лет назад
10 лет назад
10 лет назад
10 лет назад