• Предмет: Алгебра
  • Автор: yliunaraiskau
  • Вопрос задан 9 лет назад

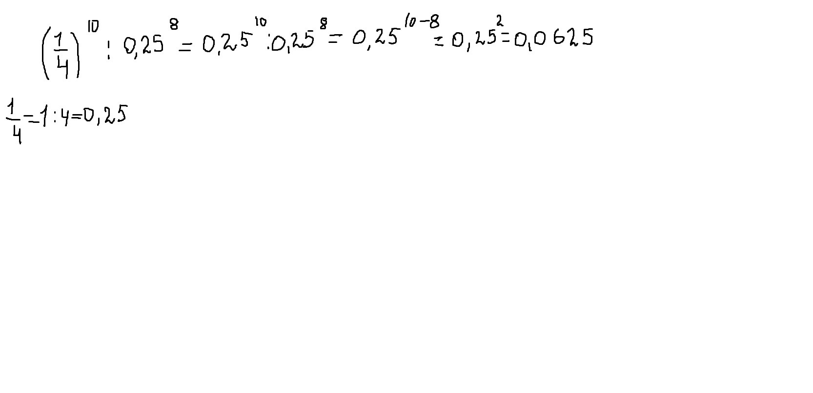
Помогите пожалуйста решить пример
(1/4)в 10 степени : (0,25)в8 степени

Ответы

Ответ дал: parus77
0
при делении степеней с одинаковым основанием показатели вычитаются
Приложения:
Вас заинтересует