• Предмет: Алгебра
  • Автор: katcornewa
  • Вопрос задан 9 лет назад

99 балов решите пожалуйста

Приложения:

Ответы

Ответ дал: sedinalana
0
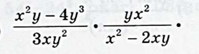
(x²y-4y³)/(3xy²)*yx²/(x²-2xy)=y(x-2y)(x+2y)/(3xy²)*yx²/[x(x-2y)]=(x+2y)/3
Ответ дал: Diablo6743
0
X+2y
------,наверху числитель внизу знаметатель и вот решение
   3
Вас заинтересует