• Предмет: Алгебра
  • Автор: Кирилл12345000
  • Вопрос задан 9 лет назад

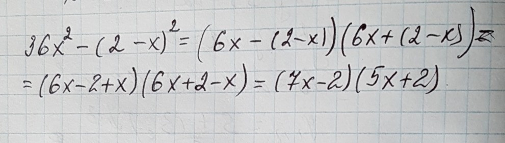
разложить на множители

Приложения:

Ответы

Ответ дал: подкожного
0
решение задания смотри на фотографии
Приложения:
Вас заинтересует