Ответы
Ответ дал:
0
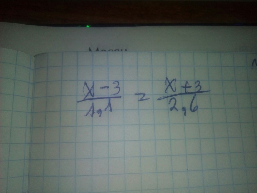
(x-3)*2,6=1.1*(x+3)
2,6x*(-7.8)=1,1x+3.3
2.6x-1.1x=7.8+3.3
1.5x=11.1
x=11.1/1.5
x=7.4
Ответ: 7.4.
Надеюсь помогла)
2,6x*(-7.8)=1,1x+3.3
2.6x-1.1x=7.8+3.3
1.5x=11.1
x=11.1/1.5
x=7.4
Ответ: 7.4.
Надеюсь помогла)
Ответ дал:
0
сПА
Ответ дал:
0
Спасибо большое*
Вас заинтересует
2 года назад
7 лет назад
9 лет назад
9 лет назад
10 лет назад
10 лет назад