• Предмет: Алгебра
  • Автор: morozhenka05
  • Вопрос задан 9 лет назад

помогите пожайлуста с алгеброй. заранее спасибо

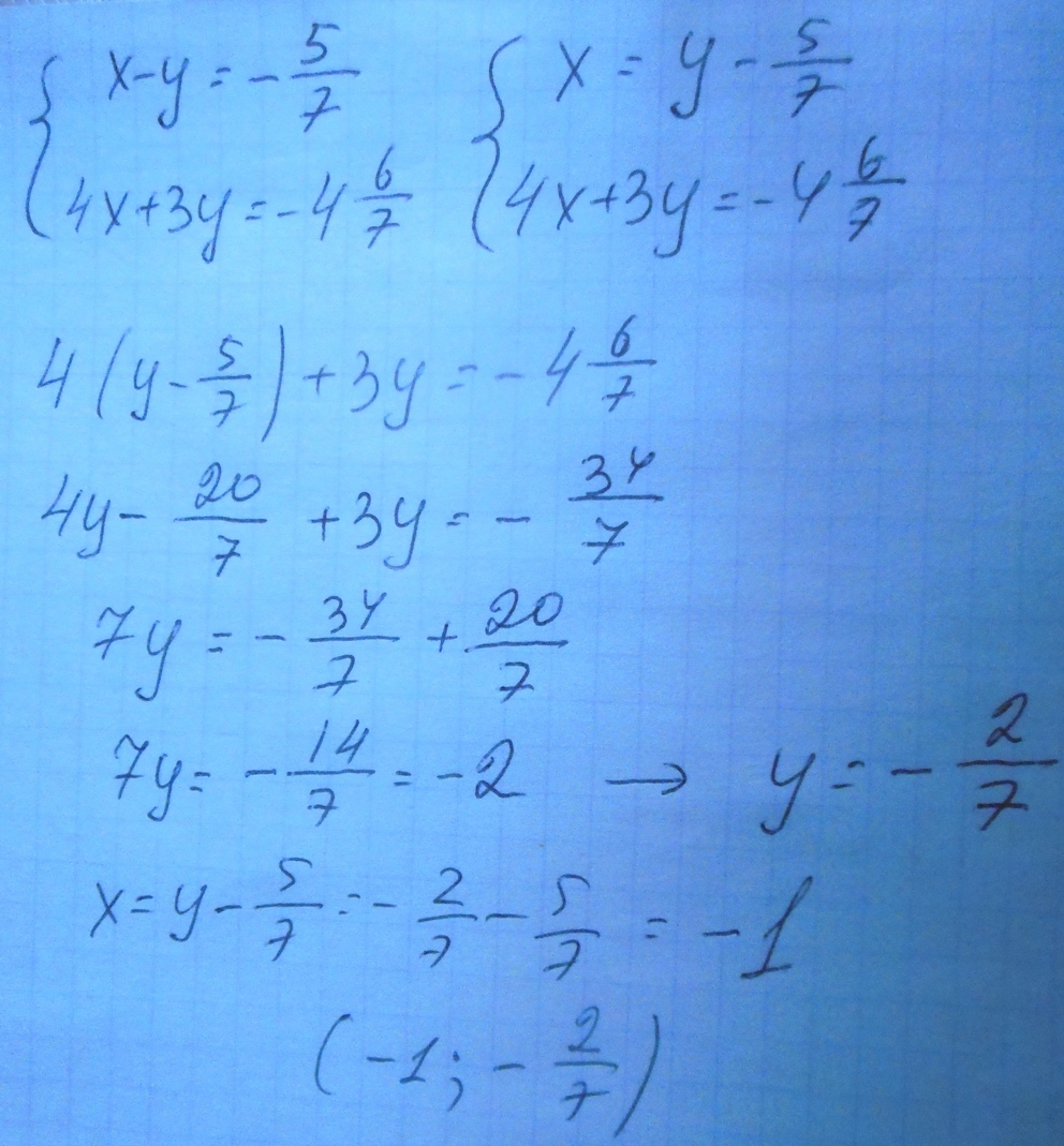
Приложения:

Ответы

Ответ дал: miron2077
0
!!!!!!!!!!!!!!!!!!!!!!!!!!!
Приложения:
Вас заинтересует