Ответы
Ответ дал:
0
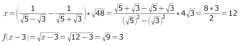
сначала нужно упростить выражение для (х)...
потом подставить получившееся число в выражение для функции))
потом подставить получившееся число в выражение для функции))
Приложения:
Вас заинтересует
2 года назад
2 года назад
7 лет назад
7 лет назад
10 лет назад
10 лет назад
10 лет назад